9月4日,北京大学工学院长聘教授,大数据分析与应用技术国家工程实验室(以下简称“国家工程实验室”)核心成员宋洁,北京大学工学院助理教授、国家工程实验室联聘研究员何冠楠,国家工程实验室助理研究员王剑晓在《自然·通讯》上发表了关于“新能源多时空尺度不确定性数据解析方法”的最新成果。王剑晓研究员、哥伦比亚大学陈刘东为该成果共同一作,通讯作者为清华大学鲁玺、斯坦福大学Chin-Woo Tan、何冠楠研究员。该研究得到了国家重点研发计划、国家自然科学基金,以及国家电网有限公司的支持资助。
国际上已有研究广泛探索地区风光资源发电潜力,并构建世界各国新能源资源数据集,然而新能源天然的不确定性是新型能源体系运行规划不可忽视的重要问题,鲜有研究关注新能源多尺度随机特性的时空分布。为此,该研究提出了基于预测误差分析的新能源多时空尺度不确定性建模方法,构建了统计学习、深度学习等多元算法驱动的国家分省级、年度小时级的新能源预测误差分布标准数据库,揭示了时间序列一阶差分和尖峰比例是影响随机分布的关键可解释因素,进而探究我国30个省份风力和光伏发电随机分布的时空规律。
基于我国30个省份历史年由数值气象再分析获取的新能源模拟数据,构建了基于时间序列、支持向量机、树模型、(深度)神经网络等多元算法的新能源预测误差数据集,实证分析揭示了新能源预测误差的空间分布规律,其中风电误差集中在我国东部地区,而光伏误差集中在我国中部、北部和东部地区。

图1 a风电预测误差空间分布;b光伏预测误差空间分布;c不同预测算法的误差分析;d不同预测时长的误差分析
该研究通过可视化的方式表现了我国不同地区新能源不确定性的分布规律。

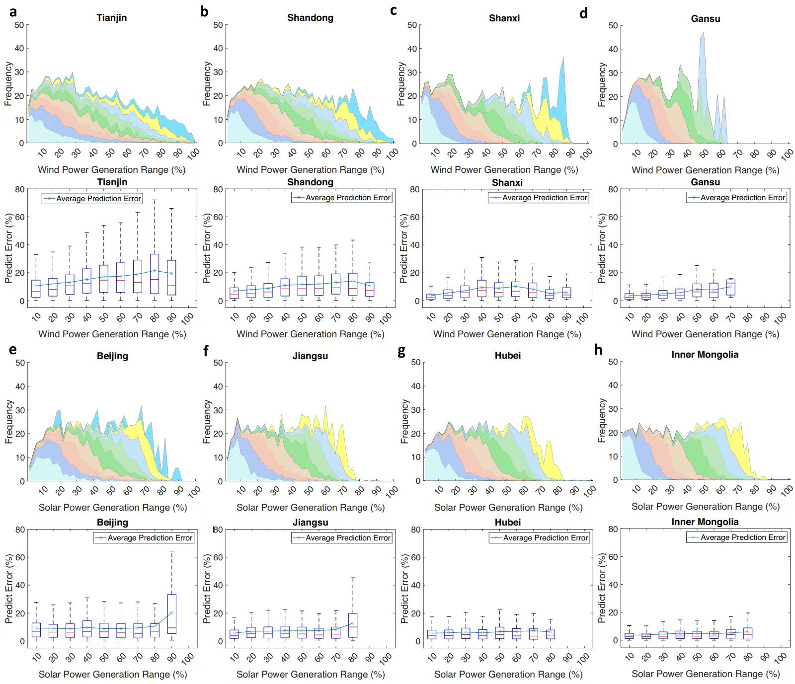
图2 我国典型地区新能源预测误差分区间概率密度函数
此外,该研究分析了新能源预测误差的季节性分布规律。进而,基于上述分析,提出相关政策建议,譬如在我国各省级电力系统需要额外关注夏季风电和冬季光伏的强不确定性带来的冲击,省间输电通道扩容仍是纾困我国局部区域新能源波动性的有效手段之一。期待该文为能源系统随机优化和安全评估等领域研究提供标准数据参考,为我国新型能源体系的战略规划与中长期布局提供政策建议。

图3 a不同季节各省风电预测误差;b 典型地区风电预测误差季节性规律;c不同季节各省光伏预测误差;d典型地区光伏预测误差季节性规律
作者简介

宋洁
北京大学工学院党委书记、长聘教授,北京大学能源研究院联聘教授,教育部长江学者特聘教授,大数据分析与应用技术国家工程实验室核心成员,北京大学长沙计算与数字经济研究院副院长。主要研究领域为在线学习、仿真优化及在工程管理领域的应用,发表学术论文60余篇。承担国家自然科学基金创新群体、重大、重点等多项课题,主持国家发改委、国家粮食局、国家电网等单位重点研究课题。国际电气和电子工程师协会高级会员(IEEE Senior Member),担任IEEE国际自动化管理技术委员会主席(首任亚洲学者),同时入选IEEE杰出报告人。曾先后入选教育部青年长江学者,长江学者特聘教授。研究获得日内瓦国际发明金奖,IEEE协会期刊最佳论文奖,IISE国际工业与系统工程协会最佳论文荣誉奖,INFORMS最佳论文奖,工程管理教指委“最佳指导导师奖”,北京市高等教育教学成果一等奖,多次获得北京大学教学优秀奖和教学改革优秀奖。

何冠楠
北京大学工学院工业工程与管理系助理教授,研究员,博士生导师,北京大学大数据分析与应用技术国家工程实验室联聘助理教授,国家级人才计划青年项目专家。博士毕业于美国卡耐基梅隆大学,曾任美国麻省理工学院博士后。主要研究方向为低碳能源系统优化与分析。曾在Nature Energy, Joule,Energy & Environmental Science等著名期刊与会议发表论文三十余篇。获国家自然科学基金、科技部重点研发计划青年科学家等项目资助。担任IEEE Transactions on Industry Applications客座编委。曾获2022日内瓦国际发明展金奖、IEEE I&CPS Asia 2022最佳论文奖、MIT Energy Fellow。

王剑晓
北京大学大数据国家工程实验室助理研究员。主要研究数据驱动优化决策及其在新能源电力系统、储能与氢能技术等领域应用,担任Cell The Innovation青年编委、IEEE Transactions on Industry Applications特邀编委等,入选中国科技部国家重点研发计划青年科学家、福布斯中国U30、北京市优秀青年人才、中国科协青年人才托举工程项目、吴文俊人工智能优秀青年奖、北京市“千人进千企”专项行动产业特派员、全国仿真创新应用大赛全国优秀指导教师等。曾获工信部优秀研究成果奖、日内瓦国际发明金奖、Elsevier全球可再生转型奖等,相关成果得到人民日报官微报道。
https://www.nature.com/articles/s41467-023-40670-7
转载本网文章请注明出处